2019年06月21日
第04版:民生 PDF版

脱贫户赵素花请人代笔给市委书记写信表心声——

“请刘书记放心,好日子都在后头呢!”

赵素花在县里举行的“劳模助力脱贫攻坚”励志报告会上发言

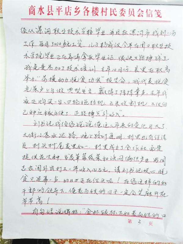
赵素花请人代笔写给市委书记刘继标的信

赵素花请人代笔写给市委书记刘继标的信

赵素花请人代笔写给市委书记刘继标的信

赵素花请人代笔写给市委书记刘继标的信

□记者 付永奇 通讯员 赵永昌/文

记者 王辛泉/图

“尊敬的刘书记,您好!您还记得吗?我叫赵素花,是商水县平店乡葛楼村人。(距)您来俺村(暗访)已经一年半时间了。您的叮咛让俺心暖、让俺感动、让俺至今难忘!最近,闺女上班发了工资、小麦大丰收,俺心里高兴,写信向您说一下心里话……”6月20日上午,记者在赵素花家中,见到她请人代笔写给市委书记刘继标的信。

今年48岁的赵素花,性格开朗,说话爽快,由于3个孩子上学花销大,成为村里贫困户。为了生计,丈夫外出务工,她一人种3亩地,平时靠编织渔网挣些零用钱。

2017年12月19日下午,市委书记刘继标到葛楼行政村暗访调研脱贫攻坚情况。当时,赵素花和几位村民正在村十字路口清扫垃圾。“你们村有贫困户吗?”“有,我就是。”“能到你家看看吗?”“好啊。”刘继标站在赵素花家院子里和她拉起家常。“家里有几口人?”“为什么贫困?”“都享受到了什么扶贫政策?”“你可一定要让孩子上学啊!教育是改变贫穷面貌的有效途径,再说孩子读的是职业学校,很快就能挣钱了,幸福生活马上就要到了……”刘继标亲切自然、语重心长,令赵素花心生感动。

“说实话,俺还真没想到您一个市委书记这么大的官,天寒地冻里不声不响地来到俺村,还走进俺家。后来,听村干部说,您是来暗访扶贫工作的……”赵素花在信中写到。

记者问及刘继标到她家以后的变化,赵素花打开了话匣子:“刘书记的叮咛时常萦绕在耳畔。我想,俺一定要自立自强,不能让人家看笑话……”

去年,她参加县扶贫办开办的免费实用技术培训班,提升“手技”编渔网,大大增加了收入;购买四轮拖拉机、玉米收割机,不仅自己种庄稼,还能为别人服务挣点“外收入”;她还披红戴花在县里举行的“劳模助力脱贫攻坚”励志报告会上发言。今年,她的大女儿毕业并找到工作,月工资3000多元;在周口职业技术学院上学的儿子今年毕业,快能挣钱了……

“这几年国家对贫困家庭照顾得真不赖,不仅是赵素花家发生了变化,很多脱贫户家庭都有喜人的变化,有的建新房、有的娶媳妇、有的买汽车……”该村党支部书记杨景和说,“最大的变化就是道路通了、街道净了、心气顺了,傍晚跳广场舞的人多了……”

“刘书记,俺今天写信,一是想代表广大贫困户向您表示衷心感谢;二是借此机会向您报报喜;三是向您夸夸俺村的新变化……”赵素花在信中表示,“请刘书记放心,脱贫只是第一步,好日子都在后头呢!”

2019-06-21 脱贫户赵素花请人代笔给市委书记写信表心声—— 2 2 周口晚报 content_69963.html 1 “请刘书记放心,好日子都在后头呢!” /enpproperty-->